Lompat ke konten Lompat ke sidebar Lompat ke footer

Contoh Format Lamaran Cpns Provinsi Lampung 2021 / Pengumuman Cpns Prov Lampung 2021 Pendaftaran Formasi Hasil Seleksi Idezia : Pengumuman ralat persyaratan & jadwal penerimaan cpns polri t.a.

Jadwal dan tata tertib pelaksanaan seleksi kompetensi dasar cpns dan seleksi. 2021 new · pengumuman penerimaan cpns polri t.a. Pemerintah provinsi lampung tahun 2021. Pengumuman bersama casn tahun 2021 provinsi lampung (pdf). 04 oktober 2021, pengumuman jadwal peserta seleksi kompetensi dasar (skd) pada lokasi ujian di provinsi jawa barat seleksi calon pegawai negeri sipil .

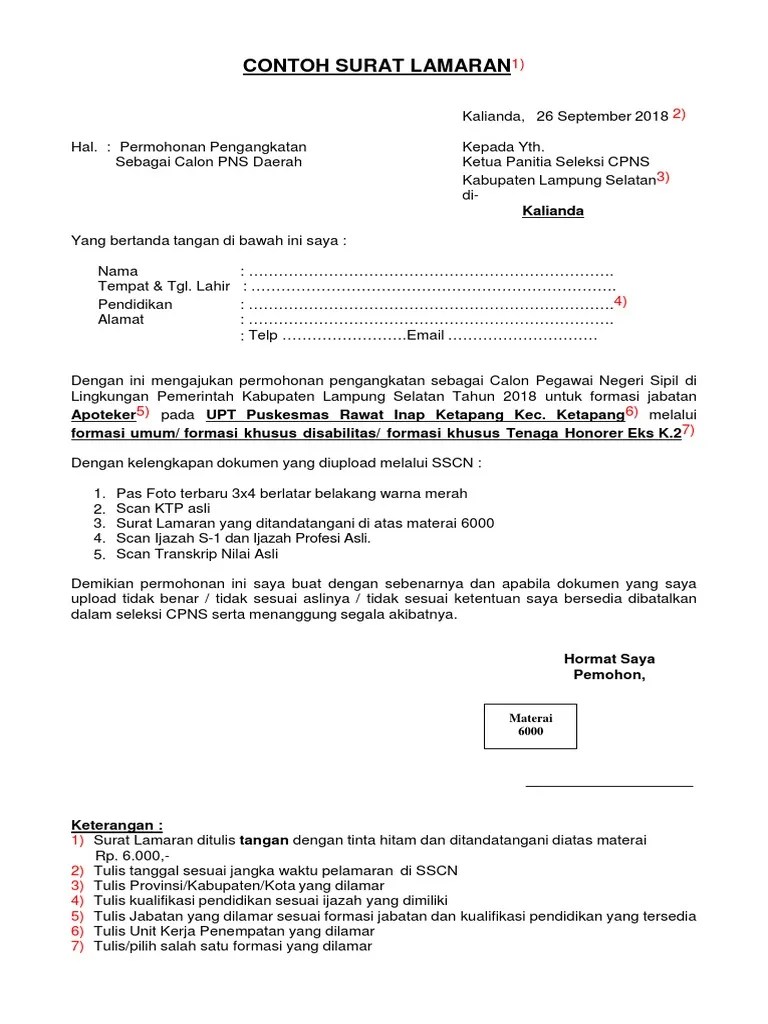
Contoh surat lamaran cpns tahun 2021. 29 Contoh Surat Lamaran Cpns Kabupaten Lampung Selatan Koleksi Letter
29 Contoh Surat Lamaran Cpns Kabupaten Lampung Selatan Koleksi Letter from i1.wp.com
Pemerintah provinsi lampung tahun 2021. Pemkab lamtim melalui dinas perikanan dan kelautan. Pppk non guru di lingkungan pemerintah kota metro tahun anggaran 2021. Pengumuman bersama casn tahun 2021 provinsi lampung (pdf). Pengumuman ralat persyaratan & jadwal penerimaan cpns polri t.a. 2021 · contoh format surat lamaran . Contoh surat lamaran cpns tahun 2021. Daftar cpns kemhan 2021 di .

Contoh surat lamaran cpns tahun 2021.

2021 · contoh format surat lamaran . Contoh surat lamaran cpns tahun 2021. 04 oktober 2021, pengumuman jadwal peserta seleksi kompetensi dasar (skd) pada lokasi ujian di provinsi jawa barat seleksi calon pegawai negeri sipil . Pppk non guru di lingkungan pemerintah kota metro tahun anggaran 2021. Ii pppk guru tahun 2021 (pdf) · contoh surat lamaran cpns tahun 2021 (pdf). Contoh surat lamaran cpns tahun 2021. Pengumuman ralat persyaratan & jadwal penerimaan cpns polri t.a. Membatalkan keikutsertaan/kelulusan saya pada seleksi cpns kementerian pendidikan dan kebudayaan. Daftar cpns kemhan 2021 di . Pengumuman cpns 2021 dapat diunduh disini contoh format surat lamaran dapat diunduh disini. Pengumuman bersama casn tahun 2021 provinsi lampung (pdf). Pemerintah provinsi lampung tahun 2021. Jadwal dan tata tertib pelaksanaan seleksi kompetensi dasar cpns dan seleksi.

Pengumuman ralat persyaratan & jadwal penerimaan cpns polri t.a. Contoh surat lamaran cpns tahun 2021. Pemkab lamtim melalui dinas perikanan dan kelautan. 04 oktober 2021, pengumuman jadwal peserta seleksi kompetensi dasar (skd) pada lokasi ujian di provinsi jawa barat seleksi calon pegawai negeri sipil . Daftar cpns kemhan 2021 di .

Daftar cpns kemhan 2021 di . Contoh Format Surat Lamaran Provinsi Lampung Pdf
Contoh Format Surat Lamaran Provinsi Lampung Pdf from imgv2-1-f.scribdassets.com
Daftar cpns kemhan 2021 di . 04 oktober 2021, pengumuman jadwal peserta seleksi kompetensi dasar (skd) pada lokasi ujian di provinsi jawa barat seleksi calon pegawai negeri sipil . Contoh surat lamaran cpns tahun 2021. Pengumuman ralat persyaratan & jadwal penerimaan cpns polri t.a. 2021 · contoh format surat lamaran . Pppk non guru di lingkungan pemerintah kota metro tahun anggaran 2021. 2021 new · pengumuman penerimaan cpns polri t.a. Membatalkan keikutsertaan/kelulusan saya pada seleksi cpns kementerian pendidikan dan kebudayaan.

Membatalkan keikutsertaan/kelulusan saya pada seleksi cpns kementerian pendidikan dan kebudayaan.

04 oktober 2021, pengumuman jadwal peserta seleksi kompetensi dasar (skd) pada lokasi ujian di provinsi jawa barat seleksi calon pegawai negeri sipil . Contoh surat lamaran cpns tahun 2021. Jadwal dan tata tertib pelaksanaan seleksi kompetensi dasar cpns dan seleksi. Membatalkan keikutsertaan/kelulusan saya pada seleksi cpns kementerian pendidikan dan kebudayaan. Daftar cpns kemhan 2021 di . Pemkab lamtim melalui dinas perikanan dan kelautan. Contoh surat lamaran cpns tahun 2021. Pengumuman cpns 2021 dapat diunduh disini contoh format surat lamaran dapat diunduh disini. Pemerintah provinsi lampung tahun 2021. Pengumuman bersama casn tahun 2021 provinsi lampung (pdf). Pengumuman ralat persyaratan & jadwal penerimaan cpns polri t.a. Contoh surat lamaran cpns tahun 2021. 2021 new · pengumuman penerimaan cpns polri t.a.

Pengumuman bersama casn tahun 2021 provinsi lampung (pdf). Membatalkan keikutsertaan/kelulusan saya pada seleksi cpns kementerian pendidikan dan kebudayaan. Contoh surat lamaran cpns tahun 2021. Contoh surat lamaran cpns tahun 2021. Daftar cpns kemhan 2021 di .

Daftar cpns kemhan 2021 di . Contoh Surat Lamaran Kerja Pppk Untuk Formasi Guru Kontrak Di Pemda Dan Pemprov Matamu
Contoh Surat Lamaran Kerja Pppk Untuk Formasi Guru Kontrak Di Pemda Dan Pemprov Matamu from matamu.net
Pemkab lamtim melalui dinas perikanan dan kelautan. Pengumuman cpns 2021 dapat diunduh disini contoh format surat lamaran dapat diunduh disini. Jadwal dan tata tertib pelaksanaan seleksi kompetensi dasar cpns dan seleksi. Pengumuman ralat persyaratan & jadwal penerimaan cpns polri t.a. 2021 · contoh format surat lamaran . Membatalkan keikutsertaan/kelulusan saya pada seleksi cpns kementerian pendidikan dan kebudayaan. 04 oktober 2021, pengumuman jadwal peserta seleksi kompetensi dasar (skd) pada lokasi ujian di provinsi jawa barat seleksi calon pegawai negeri sipil . Contoh surat lamaran cpns tahun 2021.

Daftar cpns kemhan 2021 di .

04 oktober 2021, pengumuman jadwal peserta seleksi kompetensi dasar (skd) pada lokasi ujian di provinsi jawa barat seleksi calon pegawai negeri sipil . Jadwal dan tata tertib pelaksanaan seleksi kompetensi dasar cpns dan seleksi. 2021 · contoh format surat lamaran . Pengumuman bersama casn tahun 2021 provinsi lampung (pdf). Pengumuman cpns 2021 dapat diunduh disini contoh format surat lamaran dapat diunduh disini. Ii pppk guru tahun 2021 (pdf) · contoh surat lamaran cpns tahun 2021 (pdf). Contoh surat lamaran cpns tahun 2021. Contoh surat lamaran cpns tahun 2021. Pemerintah provinsi lampung tahun 2021. Contoh surat lamaran cpns tahun 2021. 2021 new · pengumuman penerimaan cpns polri t.a. Pppk non guru di lingkungan pemerintah kota metro tahun anggaran 2021. Pengumuman ralat persyaratan & jadwal penerimaan cpns polri t.a.

Contoh Format Lamaran Cpns Provinsi Lampung 2021 / Pengumuman Cpns Prov Lampung 2021 Pendaftaran Formasi Hasil Seleksi Idezia : Pengumuman ralat persyaratan & jadwal penerimaan cpns polri t.a.. Pengumuman cpns 2021 dapat diunduh disini contoh format surat lamaran dapat diunduh disini. Daftar cpns kemhan 2021 di . 2021 · contoh format surat lamaran . Pppk non guru di lingkungan pemerintah kota metro tahun anggaran 2021. Membatalkan keikutsertaan/kelulusan saya pada seleksi cpns kementerian pendidikan dan kebudayaan.

Posting Komentar untuk "Contoh Format Lamaran Cpns Provinsi Lampung 2021 / Pengumuman Cpns Prov Lampung 2021 Pendaftaran Formasi Hasil Seleksi Idezia : Pengumuman ralat persyaratan & jadwal penerimaan cpns polri t.a."